Open login
Close login
close
登入 國立政治大學法學院
Username
Password
登入
忘記密碼?
請登入以管理網站,按下開啟登入視窗
home
國立政治大學法學院
Google Search
登入
Open login
Toggle navigation
:::
回法學院首頁
/
政治大學首頁
/
網站導覽
/
院館專區
Toggle navigation
國立政治大學法學院
:::
關於本院
行政主管
現任院長
其他主管
歷任院長
歷史沿革
組織架構
空間借用
設備資源
就業進修
法令規章
院務相關
教師專用
大學部
碩博班
法科所
碩專班
表格下載
院務相關
教師專用
大學部
碩博班
法科所
碩專班
院務會議紀錄
本院成員
專任及合聘教授
教授
副教授
助理教授
合聘師資
講座及榮譽教授
退休教授
兼任教授
行政人員
法學院博士生
系所單位
法律學系大學部
大學部簡介
招生資訊
課程資訊
相關資訊
法律科際整合研究所
最新消息
法科所簡介
招生資訊
課程資訊
相關資訊
聚會活動
畢業生出路
二十週年慶系列活動
法律學系碩博士班
最新消息
碩博班簡介
招生資訊
碩士班課程資訊
博士班課程資訊
相關資訊
法學院碩士在職專班
最新消息
專班簡介
招生資訊
課程資訊
相關資訊
招生與活動影音
公益服務學程
最新消息
學程簡介
設置辦法
學程委員會
課程資訊
合作機構
歷屆活動
學生心得
微學程
公司治理碩士學分班(18小時)
企業經營與法律遵循系列課程
系列課程(10門課供選擇,每門6小時)
企業資訊安全之治理與稽核
企業個人資料保護與法令遵循
金融科技法制變革與法令遵循
企業智慧財產權管理與法令遵循
企業犯罪與舞弊防治
企業人資管理與勞動法令遵循
企業參與政府採購之地雷與防範須知
家族財富傳承、信託與公司治理
公司治理進階實務課程
跨國聯合行為與企業內外競爭法法遵整備
課程簡介影片
學員心得
熱烈招生中
法學院課程手冊
學科中心
基礎法學中心
基礎法學中心簡介
基礎法學中心師資
基礎法學中心活動
基礎法學中心獎學金
基礎法學中心碩班招生資訊
民事法學中心
民事法學中心簡介
民事法學中心師資
民事法學中心活動
刑事法學中心
刑事法學中心簡介
刑事法學中心師資
刑事法學中心活動
公法學中心
公法學中心簡介
公法學中心師資
公法學中心活動
財經法學中心
財經法學中心簡介
財經法學中心師資
財經法學中心活動
2018年公司法修正--公司法全盤修正修法委員會修法建議
勞動法與社會法中心
勞動法與社會法中心簡介
勞動法與社會法中心師資
勞動法與社會法中心活動
法律科際整合中心
大陸法制中心
大陸法制中心中心簡介
大陸法制中心最新消息
大陸法制中心訪問學者
大陸法制中心兩岸交流
大陸法制中心表格資料
大陸法制中心活動花絮
中國法期刊
學術活動
學術活動列表
學術活動報導
研究中心
生醫倫理與醫事法律研究中心
多元文化與法律研究中心
全球治理研究中心
法律與社會研究中心
FINTEC 科技變革與金融創新研究中心
高齡社會法制研究中心
數位經濟與競爭政策研究中心
政大法學評論
國際交流
姊妹院
雙聯學位
國外入學優惠
院級交換申請
日本
德國
美國
新加坡
香港
澳洲
法國
丹麥
巴西
韓國
泰國
印度
交換/雙聯心得分享
英語授課課程
海外學習系列講座
法訊與校園生活
政大法訊
獎助資訊
榮譽榜
教師榮譽
學生榮譽
教師Office Hour
法律服務社
法律服務社簡介
法治教育宣導及寒假法治教育營隊
暑期外縣市免費法律諮詢服務
免費法律諮詢時間
校外免費法律諮詢服務
系學會
系球隊
法律系辯論隊
傑賽普國際法辯論社
指南法學文教基金會
關於基金會
基金會獎學金
舉辦活動
國際商務法律菁英系列課程
公開資訊
文件下載
聯絡我們
指南伴飛天使計畫
院友專區
法碩專班學友會專區
學友會簡介與歷史
願景與使命
加入方式
優秀學友榮譽榜
歷屆幹部與現任幹部介紹
全年度活動規劃
意見交流&聯繫我們
法學院好物
:::
關於基金會
基金會獎學金
舉辦活動
國際商務法律菁英系列課程
公開資訊
文件下載
聯絡我們
指南伴飛天使計畫
首頁
法訊與校園生活
指南法學文教基金會
指南基金會_公開資訊
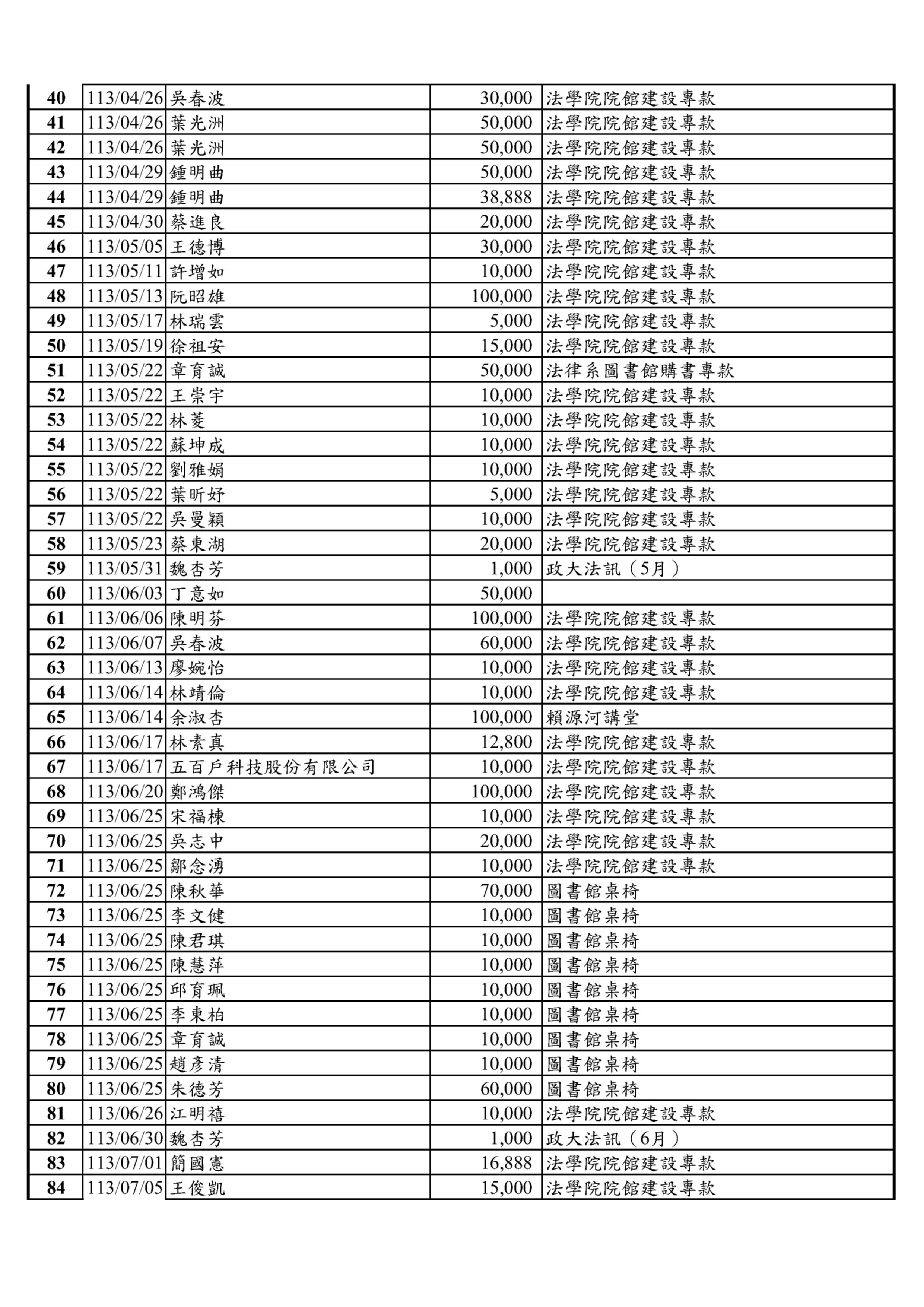
113年度指南基金會捐款收入明細
2026-01-05
楊嘉茵